Skip to content Skip to sidebar Skip to footer
close

1 Hectar In M2

1 Hectar In M2

For example, to find out how many square meters there are in 2 hectares, multiply 2 by 10000, that makes 20000 m2 in 2 hectares. Our conversions provide a quick and easy way to convert between area units.

Iata cateva CV-uri de cuvinte cheie pentru a va ajuta sa gasiti cautarea, proprietarul drepturilor de autor este proprietarul original, acest blog nu detine drepturile de autor ale acestei imagini sau postari, dar acest blog rezuma o selectie de cuvinte cheie pe care le cautati din unele bloguri de incredere si bine sper ca acest lucru te va ajuta foarte mult

A hectare (symbol ha) is a metric unit of surface area, equal to 100 ares (the name is a contraction of the si prefix hecto + are). Its use is widespread in agriculture where it is more. 1 hectare is equal to 10000 square meters (m2).

Basal Area M2 Ha Per Diameter Class Download Table
vizitati articolul complet aici : https://www.researchgate.net/figure/Basal-area-m2-ha-per-diameter-class_tbl4_32973029
Os metros quadrados, cujo símbolo é m2, são a unidade de superfície adaptada para o sistema internacional de unidades. You also can convert hectars to other area units. It is the equal area value of 1 hectare but in.

Express 5 hectares in cm2 (1 hectare = 10000 m2).

From square meters into hectare in the other way the square meters unit number 10,000.00 m2, sq m converts to 1 ha, one hectare. You can also bookmark this page with your browser to always have this tool at hand. Our conversions provide a quick and easy way to convert between area units.

An acre is about 0.405 hectare and one hectare contains about 2.47 acres. Tableau de conversion conversion are m2 conversion hectare m2 conversion hectare are conversion hectare km2 conversion. An acre is about 0.405 hectare and one hectare contains about.

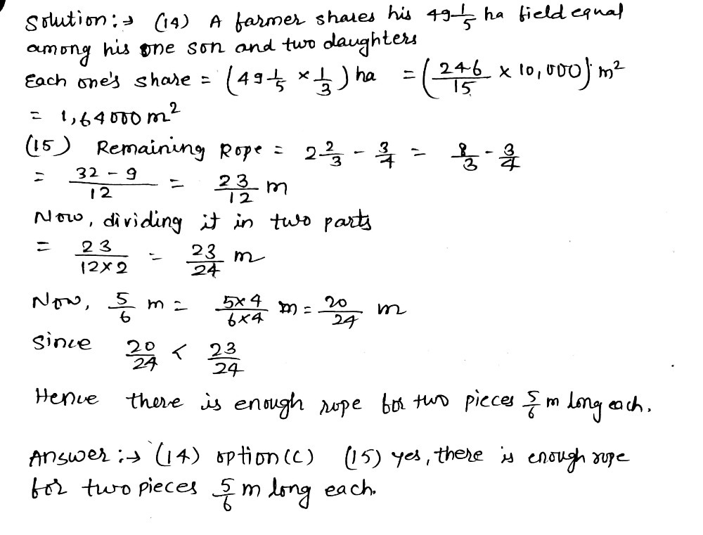
14 A Farmer Has A Field Of Area 49 1 5 Ha He Wa Gauthmath
vizitati articolul complet aici : https://www.gauthmath.com/solution/14-A-farmer-has-a-field-of-area-49-frac-1-5-ha-He-wants-to-divide-it-equally-amo-1700335882819590
The term hectare is 100 ares and is a unit of measure of land used throughout much of the world. Easily convert hectare to square meter, convert ha to m 2. First of all just type the hectare (ha) value in the text field of the conversion form to start converting ha to m², then select the decimals value and finally hit convert button if auto calculation didn't work.

10000 metri patrati = 1 hectare.

First of all just type the hectare (ha) value in the text field of the conversion form to start converting ha to m², then select the decimals value and finally hit convert button if auto calculation didn't work. The area of a square with sides one hectometer in length. Convert hectars to square inches (ha to in2) with our conversion calculator and conversion tables.

Many other converters available for free. Easily convert hectare to square meter, convert ha to m 2. To convert from square meters to hectares, multiply your figure by 0.0001 (or divide by 10000).

1 Ha Bằng Bao Nhieu M2 Km2 Sao Cong Mẫu Gia Thịnh Phat
vizitati articolul complet aici : https://giathinhphatinterior.com/1-ha-bang-bao-nhieu-m2-km2-sao-cong-mau/
The term hectare is 100 ares and is a unit of measure of land used throughout much of the world. First of all just type the hectare (ha) value in the text field of the conversion form to start converting ha to m², then select the decimals value and finally hit convert button if auto calculation didn't work. Convertisseur pour les surfaces et les superficies des actes de vente biens immobiliers ou les mesures des terrains en agriculture.

Our conversions provide a quick and easy way to convert between area units.

For example, to find out how many square meters there are in 2 hectares, multiply 2 by 10000, that makes 20000 m2 in 2 hectares. The term hectare is 100 ares and is a unit of measure of land used throughout much of the world. From square meters into hectare in the other way the square meters unit number 10,000.00 m2, sq m converts to 1 ha, one hectare.

Post a Comment for "1 Hectar In M2"